TOP > バックナンバー > Vol.11 No.3 > 4 スーパーリーンバーンに対応した火花点火モデルの開発

Vol.11 No.3

4 スーパーリーンバーンに対応した火花点火モデルの開発
Development of spark ignition model for super lean burn
堀 司
Tsukasa HORI
大阪大学
Osaka University

はじめに

 火花点火機関では火花放電によって混合気が着火され、球状の火炎(火炎核)が徐々に発達する。火炎核の成長速度は燃焼期間や燃焼変動に影響し、火花点火機関の性能を左右する。特に、超希薄燃焼(スーパーリーンバーン)では、火炎核の成長速度が遅く、周囲気体による放電経路の伸長、放電の短絡や再放電などの放電挙動が燃焼に影響する。一方、火花点火機関のCFDで用いられるほとんどの火花点火モデルは、スーパーリーンバーンを想定したモデルではないため、放電挙動に注目したモデル化がなされていない。ここでは、著者が開発した火花点火モデルについて紹介する。

火花点火のモデリング
火花点火モデル

 火花点火は点火装置(電気回路)を用いて電極間に数万Vの電圧を与え、電極間の絶縁を破壊して電流を流し(火花放電)、混合気を着火させる。火花放電は点火装置における二次コイルのエネルギーが消費されるまで続く。エンジン筒内の高圧場かつ高流動場では、放電経路は下流に流され(放電経路伸長)、放電経路の短絡や再放電とよばれる現象が生じる。火炎核は量論混合気では電極間から発達し、希薄混合気では火炎核成長が遅いことや放電経路伸長によって、電極間の下流から発達する。火花点火モデルでは、これらの現象を電気回路、放電、火炎核成長のモデルで記述し(図4-1)、CFDコード(HINOCA)に組み込んでいる。

高圧空気下での火花放電の計算

 図4-2は流動を伴う高圧空気における火花放電をHINOCAにより計算した例である(4-1)。放電開始と同時に電極間に放電経路となる放電粒子を配置する。放電粒子の移動速度は放電粒子位置の気体速度に基づき計算する。放電経路の伸長によって、放電粒子間の距離が大きくなると、放電粒子を増加させる。電極間の電圧は正極と負極のシース層における電圧、気体間の電圧をモデル化している。時間が経過すると、放電が伸長して電極間の電圧が上昇する。再放電は実験から得られた再放電電圧に達すると、放電粒子位置を初期化させて表現する。計算結果(3D)は実験結果(0D)を再現していることが分かる。

 

Fig.4-2 放電モデルと電気回路モデルの検証
(左)放電経路の伸長のCFD結果、
(右)実験結果(0D)とCFD結果(CFD)の 比較。
ただし、放電長さlspk 、電極間距離dgap 、電極間の電圧Vie 、ジュール熱qgc

火炎核成長モデル

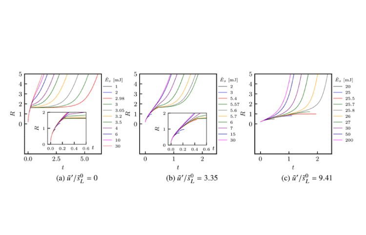
 放電開始直後に放電粒子位置で任意の大きさを持つ火炎核が形成され、火炎核は放電による熱膨張と火炎核の曲率を考慮した乱流燃焼速度に従って成長するとモデル化される。火炎核径が一定の大きさを超えると着火したとみなして、火炎伝播モデル(G方程式など)の初期値を与え、これ以後は火炎伝播モデルで燃焼を計算する。さらに、著者は熱爆発理論をベースに、一次元のエネルギー式と燃料の化学種保存式を線形化して得られる代数方程式により火炎核の成長を計算する手法を考案している(4-2)図4-3は火炎核成長(火炎核半径、R、の時間変化)の計算例である。点火エネルギーが小さい場合に失火、乱流強度が増加すると最小点火エネルギーが増加する過程を予測できる。

点火モデルと実機への適用例

 図4-4はHINOCAにより火花点火機関を計算した例(4-3)である。放電の開始とともに、放電粒子で放電経路を形成し、放電粒子位置で火炎核成長を計算する。この条件では放電した後すぐに、火炎核径が着火のしきい値を超えるため、G方程式による火炎伝播が計算されて、温度が上昇していることが確認できる。本モデルは計算負荷が低く、火花点火モデルの導入による追加の計算コストはほとんどない。幅広い実験条件で点火を再現するためには、電気回路、放電、火炎核成長モデルのチューニングが必要となるが、放電の挙動を捉えた点火モデルを開発することができた。

 

Fig.4-4 HINOCAでの計算例

まとめ

 火花点火の現象はプラズマ、化学反応、乱流などが関与し、極めて複雑な現象である。これまでの研究成果により、火花点火における乱流と着火の関係、火炎核から火炎伝播に至る過程などについてはモデル化できるようになってきた。その一方、放電経路の伸長、プラズマと実用燃料の反応過程など、プラズマが関与する過程に関しては十分明らかになっていない。著者のモデルにおいても、放電経路伸長、再放電電圧などにおいて実験値を必要としている。今後は、プラズマの物理を考慮することで、実験値を必要とする箇所を削減し、より広範囲で火花点火の挙動を再現できるモデルにしていきたい。

【参考文献】
(4-1) 堀 司、火花点火機関における放電経路伸長と再放電のモデリング、自動車技術会論文集、Vol.48、No.3、p. 641-647.
(4-2) 堀 司、田仲 巧、赤松 史光、乱流中における火炎核成長の理論解析、熱工学コンファレンス講演論文集(2019)、C122.
(4-3) 神長 隆史、草鹿 仁、溝渕 泰寛ら、火花点火ガソリンエンジンにおける燃焼のサイクル間変動のLES解析、自動車技術会論文、Vol. 50、No. 1、p.19-24.