TOP > バックナンバー > Vol.11 No.7 > 潤滑油・潤滑技術およびトライボロジー I・II

Vol.11 No.7

潤滑油・潤滑技術およびトライボロジー I・II
伊東 明美(東京都市大学) 

Akemi ITO (Tokyo City University)

潤滑油・潤滑技術およびトライボロジー I

 本セッションは、燃料潤滑油部門委員会の企画によるオーガナイズドセッションである。200名を超える聴講者が集まり、大変盛況であった。
 講演番号233では、東京都市大学の荻原氏より、流体潤滑化においてもDLC膜による摩擦力低減効果が発現する可能性があることが示された。従来は金属表面に製膜されるDLC膜による摩擦低減効果は、対向する金属同士が接触する混合潤滑領域において発現すると考えられてきた。図1に示すように、高回転側の流体潤滑域にあると思われる条件下でDLC膜による摩擦低減効果が確認されている。仮説として、表面において潤滑油がスリップするような現象が起きていることが考えられるとのことであった。今後の仮説の検証が期待される。

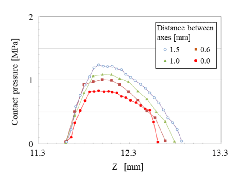
 講演番号236では、円筒面に用いられるリップシール部の面圧分布の測定手法についてSOKENの尾崎氏より紹介された。漏れを防止するためには面圧分布測定の際の分解能が重要である。ここでは目標を分解能50㎛として測定手法の開発を行っている。シール部に対し直径50㎛の細穴を設け、そこに外部から水を供給している。ここでリップ部の面圧が高ければ水は細穴に押し戻され、逆に低ければ水が流出する。これを水圧の測定により検知する仕組みである(図2図3)。当該細穴を設けた模擬軸を用いて面圧分布の測定が可能である。実際に軸の直径が公差内で変化したときの面圧や、軸が偏心したときの面圧(図4)が示されているが、いずれも妥当と思われる結果が得られている。実部品での測定ができない点は残念であるが、軸の真円度の影響なども調査できると思われ、応用範囲の広い測定手法であると考えられる。

潤滑油・潤滑技術およびトライボロジー II

 本セッションも燃料潤滑油部門委員会の企画によるオーガナイズドセッションである。200名近い聴講者が集まり、こちらも大変盛況であった。本セッションでの講演6件はすべてエンジンのオイル消費に関するものであり、関心の高さがうかがわれた。
 講演番号239では、ベアケミカル&液体マシンテクノロジーの渡邊氏より、図5に示すようにオイルの蒸発特性を表すNOACK値とオイル消費の間の相関が高くないこと、また図6に示すように粘度グレードがワイドレンジになるにしたがって、すなわち粘度指数向上剤の添加量が増加するにしたがって、NOACK値が高くても少ないオイル消費を示すことなどが示された。これらは数多くの供試オイルについてエンジン試験により測定された結果の分析により示されている。オイルの観点からオイル消費を考えたとき、分子間力すなわち蒸発力に着目すべきと考えられることなどが述べられていた。第2報、第3報でさらに詳細について紹介されるとのことである。

【参考文献】
(1) 荻原 秀実、岩田 拓実、加納 眞、及川 昌訓、石井 大二郎、三原 雄司、三田 修三:DLC コートクランクジャーナルの流体潤滑下での低摩擦特性、自動車技術会2021年春季大会学術講演会講演予稿集、No. 20215233
(2) 尾﨑 幸克、武内 康浩、梅田 大貴、三浦 進:ゴム製リップからなる円筒面シールにおける接触面圧分布測定、自動車技術会2021年春季大会学術講演会講演予稿集、No. 20215236