function gtag() { dataLayer.push(arguments); }

TOP > バックナンバー > Vol.12 No.5 > 自動車の大気環境影響と対策技術

Vol.12 No.5

自動車の大気環境影響と対策技術
鈴木 央一(本誌編集委員/(独)自動車技術総合機構) 
Hisakazu SUZUKI (JSAE ER Editorial Committee / National Traffic Safety and Environment Laboratry)

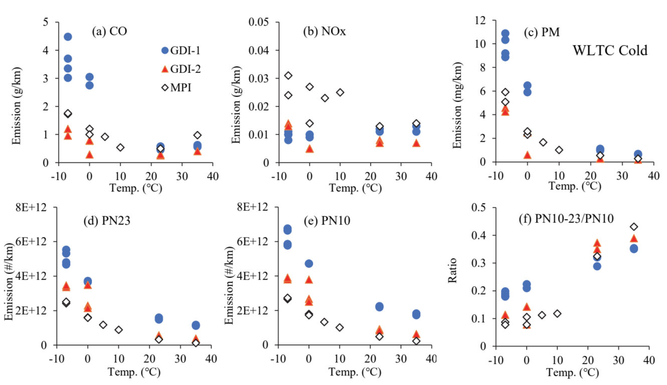
 東京電機大学木村らは「ガソリン直噴車排気粒子への環境温度の影響」というタイトルで発表を行った(1)。タイトルからは分かりにくいが、本報で測定対象となった3台の車両は直噴ガソリンエンジンを搭載するハイブリッド車2台と、比較対象としてポート噴射ガソリンエンジンを搭載したハイブリッド車1台で、すべてガソリン電気ハイブリッド車である。直噴ガソリンエンジンで冷機時などにPN(Particulate Number)排出が増加するとされるが、それを基準を満たすレベルの設備で定量的に比較可能な形で測定された結果を用いて解析、考察を行っている例は少なく、貴重な発表といえるだろう。
 図1(d)は、3台の試験車における、気温を変化させたときのWHTCにおける各種エミッションの排出量を比較したものである。NOx排出量は比較的温度影響が小さいのに対し、COやPM、PNは低温で大きく増加する傾向を示した。この図でとくに興味深いのはSPN10-23で、PN23 (23nm以上の粒子)およびPN10(同10nm以上)それぞれを測定する粒子数カウンターを併用したことで粒径10nmから23nmの粒子数を算出したものである。これをみるといずれの車においてもSPN10-23は低温では排出割合が小さく、温度の上昇に伴い排出割合が増加する。PN排出がCOと相関が見られることおよび低温で増加する理由の考察として、空燃比も含めた時系列データの測定結果から、とくに低温時に始動直後の限られた時間においてエンリッチ制御が行われ、その部分での排出によるものと考察している。また、その部分でのPN増加について、既述の通り低温時のPN排出増加はPN23の増加が主であることから「すす」が主成分であるとしている。

×

この記事(あるいはこの企画)のご感想、ご意見をお聞かせください。
今後のコンテンツづくりの参考にさせていただきます。

コメントをお寄せいただきありがとうございました。

職種

職種を選択してください

コメント

コメントを入力してください

閉じる
閉じる
【参考文献】
(1)木村 汰知、山田 裕之、近藤 美則、今野 秀徳:ガソリン直噴車排気粒子への環境温度の影響、2022年春季大会学術講演会講演予稿集、No.20225350