TOP > バックナンバー > Vol.12 No.6 > Pd系三元触媒のモデル化~水の影響を考慮する~

Vol.12 No.6

Pd系三元触媒のモデル化~水の影響を考慮する~
Modeling study of the Purification performance of Pd-based Three-way catalyst ~Effect of Water on the Purification performance~
広瀬 史弥(茨城大学)、田中 光太郎(茨城大学)

Fumiya HIROSE (Ibaraki University), Kotaro TANAKA (Ibaraki University)

アブストラクト

 三元触媒は、実路走行規制の低温始動条件や、高負荷域のEnrichmentの使用不可条件などにおいても浄化性能の維持や耐久性を確保する必要があり、ライトオフ温度の低温化や劣化抑制が求められている。今後は、ガソリンパティキュレートフィルタや電気加熱触媒など排ガス浄化システムが高機能化していくことから、触媒性能の改善とともに、その開発工数の低減に向け、広範囲の運転条件や劣化条件において、高精度に浄化性能を評価できる触媒反応モデルの構築が求められる。この研究では、三元触媒の劣化モデルを構築することを最終目標とし、本記事では、その一連の研究の中で実施した、水が三元触媒の浄化性能に与える影響評価とそのモデル化に関する研究成果について述べる。 (1)

水がPd系三元触媒の浄化性能に及ぼす影響評価とモデル化 (1)
研究背景と目的

 三元触媒の浄化性能を再現する触媒反応モデルはこれまで幾つか提案されている。それら多くは総括反応モデルや貴金属表面へのガスの吸脱着を考慮した反応モデルであり、量論混合比条件で空間速度や劣化条件を変えた実験結果を再現できるように提案されている。しかし、空気過剰率が変化した場合の浄化率の変化を再現できるまでには至っていない。近年、三元触媒上の反応は、三元触媒上の貴金属、助触媒およびガスが接触する三相界面で触媒活性が高く、この領域で浄化反応が進行することがわかってきた。このメカニズムを用いたモデルを構築できれば空気過剰率の変化を再現できるモデルが構築できる可能性があり、AICEのプロジェクトの中で早稲田大学草鹿研究室とともにモデル化を進めてきた。(2,3) しかし、このモデルでは排ガスに多く含まれる水の影響について考慮できておらず、また、水が三元触媒の浄化性能に及ぼす影響についても明らかになっていない部分が多い。そこで、本研究では、水が三元触媒に及ぼす影響について触媒反応実験を行って評価し、その結果に基づいて三相界面での反応を考慮した触媒反応モデルを構築することを目的とした。この記事では、水の影響を評価した触媒実験の方法と結果について述べ、その後に簡単にモデル構築について述べる。

実験装置と方法

 水が三元触媒の浄化性能に与える影響を評価するため、粉末触媒を用いて水の有無を変化させ、ガソリンエンジンの模擬排ガスの浄化性能を評価した。粉末触媒にはCe、Zr、La、NdをCeO2/ZrO2/La2O3/Nd2O5 = 40/50/4/6の質量割合で混合した担体 (以下、CZ担体) にPdを2.0wt%担持したものを使用した。水が三元触媒の浄化性能に及ぼす影響を明らかにするため、図1に示す流通反応装置を用いた。流通反応装置は模擬ガス供給部、反応管、ガス分析部で構成される。模擬ガスは表1に示す5種のガスの混合気体とし、それらを上流から粉末触媒をセットした反応管に流通した。水を加える場合は気化器で気化させて供給した。透過後のガス成分をFTIRで計測し、浄化性能を評価した。前処理は、600℃まで窒素を流通させながら昇温し、その温度で20min維持した。その後150℃まで降温したのちに模擬排ガスを流通させて実験を開始した。

Rich Stoichiometry Lean
Excess air ratio 0.97 1 1.03
CO % 0.75
NO ppm 650
C3H6 ppmC 800
O2 % 0.43 0.46 0.49
H2O % 7.5
N2 % Balance
Frow rate L/min 0.5
Temperature ˚C 150∼400

Table 1 Experimental conditions for investigating the effect of water on the CO,NO, and C3H6 conversions (1)

実験結果

 水を含まないDry条件と水を含むwet条件で取得した一酸化炭素(CO)、一酸化窒素(NO)およびプロピレン(C3H6)のRich条件におけるPd-CZ触媒上の転化率を比較したグラフを図2に示す。Rich条件において300℃以上のCOの転化率に差がみられ、Wet雰囲気の方がDry雰囲気よりも高い結果となった。これは水性ガスシフト反応の影響によるためと考えられる。Wet条件では反応式(R3)の水蒸気改質反応も重要であるが、今回の実験では水蒸気改質反応の影響はほとんどみられなかった。また、Lean条件やStoichiometry条件では水の影響はほとんどなかった。

CO + H2O → CO2 + H2 (R1)
CO2 + H2 → CO + H2O (R2)
C3H6 + 6H2O → 3CO2 + 9H2 (R3)
触媒反応モデルの構築

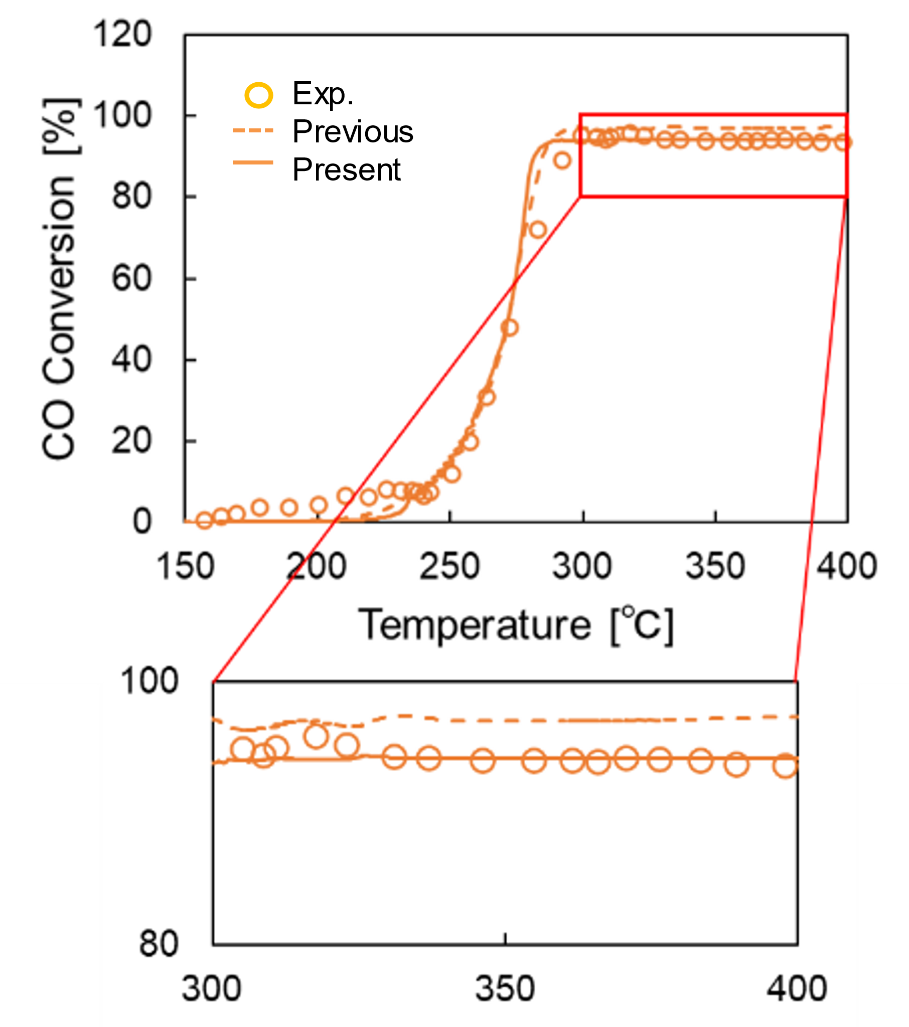
 触媒反応モデルは、三相界面へのガスの吸着脱離過程を考慮して、Dry条件で構築されたもの(2)をベースとした。本研究では、水性ガスシフト反応が重要であることから反応式(R1)および(R2)をベースモデルに追加し、水蒸気改質反応(R3)も追加した。さらに水の吸着脱離反応も新たに追加してモデルを構築した。各反応の反応速度定数を粉末触媒実験で取得し、得られた定数をモデルに用いた。モデルの検証には、Al2O3にLaを3wt.%添加した担体にPdを2.0wt.%担持したものとCZ担体にPdを2.0wt.%担持したものを1:1の割合で混合し、コージライト製の基材上に100g/Lコートしたテストピースを用いてライトオフ実験を行った結果を用いた。一例として、Rich条件で実験とモデルで計算したPd-CZ+Al触媒上でのCOのプロファイルの比較を図3に示す。グラフ中の”Present”は新たに反応を追加したモデルを用いて計算した結果、”Previous”は追加前のベースモデル(2)を用いて計算した結果を示す。モデルは実験の結果を概ね再現した。ほかの条件でも概ねモデルは実験の傾向を再現したことから、今後は劣化モデルの構築を進めていく予定である。

まとめ

 Pd-CZ触媒を用いて水が浄化性能に与える影響を確認し、水が関与する反応を考慮した触媒反応モデルを構築した。水が存在する場合、Rich条件のCOの浄化率に影響があることがわかった。この変化は水性ガスシフト反応によると考えられることから、それらの反応をベースモデルに加えることで水の影響を再現する触媒反応モデルの構築を行い、実験結果をよく再現することを確認した。今後は、劣化モデルの構築に注力し、熱劣化後の触媒浄化性能を評価できるモデル構築を進めていく。
 本研究は、新エネルギー・産業技術総合開発機構先導研究プログラム、エネルギー・環境新技術先導研究プログラム、エンジン排出ガス後処理装置のコンパクト化に関する技術開発および内燃機関技術研究組合のご支援を受けて実施したことを記し謝意を表す。研究の遂行においては、早稲田大学草鹿先生に多くの助言をいただいて進めた。また、多くのAICE参加企業の皆様からアドバイスをいただいた。ここに記して謝意を表す。

×

この記事(あるいはこの企画)のご感想、ご意見をお聞かせください。
今後のコンテンツづくりの参考にさせていただきます。

コメントをお寄せいただきありがとうございました。

職種

職種を選択してください

コメント

コメントを入力してください

閉じる
閉じる
【参考文献】
(1) 広瀬 史弥、境田 悟志、金野 満、田中 光太郎、久保 悠之介、山川 幸紘、草鹿 仁:水がPd系三元触媒の浄化性能に与える影響把握とそのモデル化、日本機械学会論文集, 88, 910, 22-00001 (2022).
(2) Yamakawa, Y., Inoue, R., Kubo, Y., Yamaguchi, K. Kusaka, J., Conversion Performance Prediction of Thermal-Deteriorated Three-Way Catalysts: Surface Reaction Model Development Considering Platinum Group Metals and Co-Catalyst,SAE Technical Paper, 2021-24-0077 (2021).
(3) Machida, M., Fujiwara, A., Yoshida, H., Ohyama, J., Asakura, H., Hosokawa, S., Tanaka, T., Haneda, M., Tomita, A., Miki, T., Iwashina, K., Endo, Y., Nakahara, Y., Minami, S., Kato, N., Hayashi, Y., Goto, H., Hori, M., Tsuda, T., Miura, K., Kimata, F. and Iwachido, K., Deactivation Mechanism of Pd/CeO2-ZrO2 Three-Way Catalysts Analyzed by Chassis-Dynamometer Tests and In Situ Diffuse Reflectance Spectroscopy, ACS Catalyst, Vol.1 (2019), pp. 6415-6424.
【さらに学びたい方へ】
(1) 菊地 英一、射水 雄三、瀬川 幸一、多田 旭男、服部 英 共著、新版 新しい触媒化学: 三共出版(2010)。
コメント: 触媒化学について広い分野にわたり基礎と応用を記した教科書であり、エンジンや燃焼を専門とした研究者や学生が、触媒を新たに学ぶときの入門書として役立つ教科書である。
(2) 草壁 克己、増田 隆夫 共著、反応光学: 三共出版(2015)。
コメント: 触媒を用いた実験手法や、反応速度を取得する方法をわかりやすく解説しており、浄化率を評価する触媒実験やモデル化に必要な反応速度定数を取得する手法を学ぶ際に役立つ教科書である。
(3) Heck, R. M., Farrauto, R. J., Gulati, S. T., Catalytic Air Pollution Control, Commercial Technology, Third Edition: WILEY (2009).
コメント: 実用的に使用されている触媒について丁寧に説明した英語の教科書である。ガソリンエンジン、ディーゼルエンジンに使用される触媒に関しても丁寧に説明してあり、エンジンを学んだ学生、研究者が読むと触媒システムをよく理解できる。