TOP > バックナンバー > Vol.13 No.3 > HCCI

Vol.13 No.3

HCCI
飯島 晃良
Akira IIJIMA
本誌編集委員、日本大学
JSAE ER Editorial Committee / Nihon University

 自動車のカーボンニュートラル化に向けた取り組みによって、燃料の多様化が進むと予想される。それらの燃料を、既存の火花点火(SI)機関および圧縮着火(CI)機関で用いる場合には、ガソリンや軽油のように、従来の燃料規格に適応した燃料にするための調整が必要となり、燃料製造工程における消費エネルギーの増加やコスト増加など、新しい燃料実用化への障害となり得る。
 葛岡ら(1)は、「多種燃料対応圧縮着火エンジンの研究と題して」、予混合圧縮着火燃焼を基本として、様々な特性の燃料で運転可能な燃焼技術の研究を行った結果を報告した。
 特に、燃料の着火性は、予混合圧縮着火燃焼運転を成立させるうえで重要な特性である。炭化水素燃料はその分子構造により低温酸化反応を起こしやすいものとそうでないものとがある。また、エンジン筒内の温度や圧力の履歴によっては、低温酸化反応を生じにくい条件で圧縮着火燃焼が進む場合もある。
 この研究では、残留ガスを与えて初期温度を上げることで圧縮着火させる2ストロークの自着火燃焼を対象とし、掃気条件などが着火性特性に及ぼす影響を調査している。実験装置は図1に示すように、排気量325.3 cc、ユニフロー掃気の2ストロークエンジンである。
 図2に、回転速度2000 rpm、当量比φ=0.68において、低負荷(掃気効率33%で残留ガスが非常に多い状態)および高負荷(掃気効率55%で残留ガスが比較的少ない場合)それぞれにおける、オクタン価を変化させた際の指圧と熱発生率を示す(燃料はPRFである)。いずれも低温酸化反応によるものと思われる熱発生は確認できない。また、特に低負荷時には、オクタン価を0から95まで変化させても、着火特性の変化がわずかであることが分かる。このように、低温酸化反応が極めて生じにくい条件においては、様々な着火性の燃料を同一の運転条件で運転できる可能性があることが分かる。
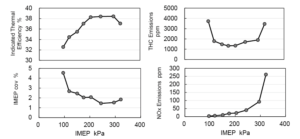
 図3に、PRF50を用いた際の、負荷に対する図示熱効率、IMEPの変動率、THCおよびNOx排出濃度を示す。オクタン価が50と、SI機関に用いるには低すぎる値であるにもかかわらず、特に中負荷域において小型のエンジンの中負荷としては高い熱効率と、低いNOxを実現している。様々な燃料を受け入れる内燃機関技術という観点から、今後のエンジンとして有用な使い方だと考えられる。

×

この記事(あるいはこの企画)のご感想、ご意見をお聞かせください。
今後のコンテンツづくりの参考にさせていただきます。

コメントをお寄せいただきありがとうございました。

職種

職種を選択してください

コメント

コメントを入力してください

閉じる
閉じる
【参考文献】
(1)葛岡 浩平、中津 雅之、山田 義和、多種燃料対応圧縮着火エンジンの研究、第33回内燃機関シンポジウム予稿集、No. 65