アブストラクト
本研究では、エンジンシステム全体のダイナミクスを考慮するため、吸排気系と燃焼系の相互影響および燃焼バラつき を考慮した統合シミュレーションモデルを構築する。燃焼バラつきの再現においては、決定論的な要素と不確定的な要素を組み合わせたモデリングを行う。また、吸排気系の酸素濃度モデルを利用して、Luenberger型観測器と観測器を設計し、酸素濃度の推定値に基づいてEGR率の推定を行う。さらに、確率最適制御による燃料噴射制御と極値探索制御による点火時期制御を組み合わせた燃焼バラつき抑制のための燃焼制御系を提案する。制御系は、燃焼バラつきを抑制しながら熱効率を最大化するような制御入力を生成する。
統合モデルの構築
低圧EGRを有するSIエンジンを対象とした統合シミュレーションモデルの概要を述べる。吸排気系については、サイクル間、気筒間の特性を考慮しない平均値モデルと、物理法則に基づく時変輸送遅れを考慮した酸素濃度モデルを用いてモデリングを行う。燃焼系については、筒内の気体を均一と見なすSingle-zone
modelの概念を用いて筒内の状態量を記述する。また、EGRによる希釈燃焼で発生する失火や部分燃焼の再現には、実験データに基づく経験式を用いた。吸排気系モデルと燃焼系デルについて幾つかの変数を共有することで、吸排気系と燃焼系が相互に及ぼす影響を考慮することが可能となる。
統合モデルの概略を図1に示す。
バラつきを考慮した熱発生モデル
熱発生モデルについては、各サイクルにおいて筒内の組成ごとの気体質量を要素とするベクトルx[k]の遷移を以下のような差分方程式として表すことで、燃焼バラつきの決定論的な要素を 再現する。
ここで、EGR率の上昇に伴う失火や部分燃焼を模擬するため、燃焼効率ηcの平均値ηcは、燃料に対する空気と不活性気体の過剰率であるGas-fuel equivalence ratio λ'の関数として、以下のような実験式を用いてモデル化する。
さらに、局所的な筒内の気体組成や流れの様式による燃焼の確率的要素については、燃焼効率の算出時に標準正規分布に従う確率変数w[k]を以下のように含めることで再現する。
以上により、吸排気系で発生するEGRの輸送遅れと、燃焼系で発生する確率的に生じる燃焼バラつきの影響がモデル全体に波及するようになる。エンジン統合モデルを動作させ、EGR導入時の燃焼バラつきの挙動を確認する。図2に筒内圧力の履歴を示す。結果から、EGRを導入した場合はEGRを導入しない場合に比べて点火後の圧力がサイクルごとに変動しており、筒内圧力のピーク値とピーク時期のバラつきが大きくなっている。また、EGRを導入した場合は排気バルブが開くタイミングでの圧力バラつきが大きく、排気系の物理量にもバラつきの影響が反映されている。
EGR率の推定
観測器(オブザーバ)を用いたEGR率の推定方法を定式化する。吸排気系の酸素濃度ダイナミクスは、以下のように線形パラメータ変動モデルとして書き換えることができる。
ここで、燃料流量をシステムの入力、EGR上流部酸素濃度を出力と見なすことで、式6、7で表されるシステムに対して、 Luenberger型の観測器を以下のように設計することができる。
EGR率の推定値𝑟̂egrは、システムの状態である酸素濃度の推定値ベクトル𝐹̂の要素を用いて、以下のように算出することができる。
センサで測定された排気側の空燃比と、吸気側の空燃比との誤差が大きくなっているため、排気側の空燃比とシリンダ流量新気成分を用いて燃料流量を補正したのち、再度EGR率の推定 を行った結果を図3に示す。結果から、EGR率の推定値は定常状態、過渡状態共に真値と高い精度で一致していることが分かる。
燃料噴射制御
燃料噴射制御は1気筒ごとに制御を行う。EGR率と点火時期の変動によって筒内の組成が希釈限界に達した場合、制御系が追加の燃料噴射を行う ことで、不安定燃焼を回避しながら最適な点火時期を探索する。燃料噴射量は確率最適制御を用いて決定する。目的関数JOCは理論空燃比を達成する燃料噴射量からの差分と、総熱発生量の変動すなわち燃焼バラつきに対するペナルティを考慮して以下のように設定する。
最適制御入力u*[k]は、式9の目的関数を最小にする燃料噴射量として以下のように定式化できる。
点火時期制御
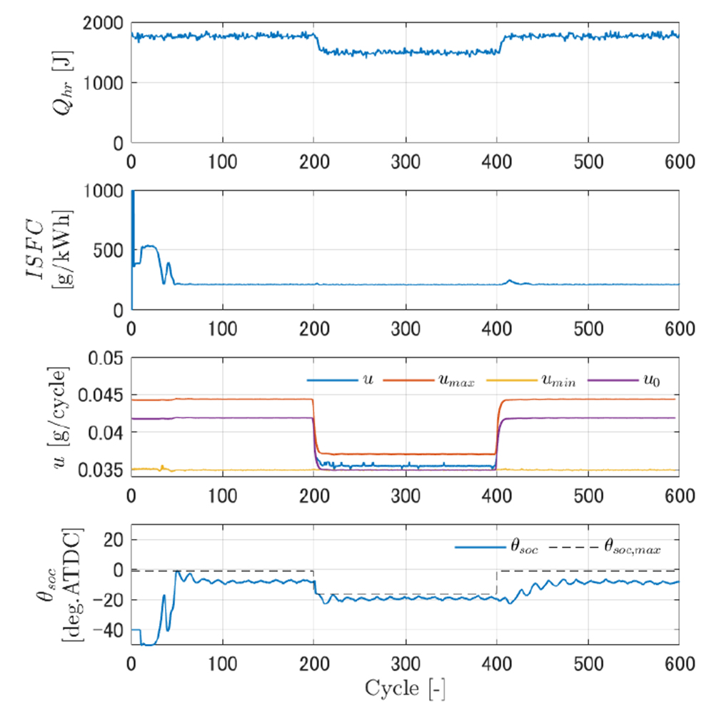
点火時期は極値探索制御を用いて、図示燃料消費率(ISFC)が最小となるような最適な値をオンラインで探索しながら決定する。極値探索制御はモデルの情報を用いないモデルフリー制御手法の一種であり、評価関数の具体的な関数形が得られない場合でも、評価関数を最小にするような入力を生成することができる。点火時期以外の運転条件を固定した場合、ISFCの平均値は点火時期に対して下に凸な関数となるため、極値探索制御によって運転条件ごとに最適な点火時期を決定することができる。ISFCの平均値からのバラつきの影響を低減するため、評価関数JESCはISFCにローパスフィルタ(LPF)を通した信号とする。また、点火時期は制限があるため、アンチワインドアップ機構を付加した。さらに、点火時期が最適値付近に近づいた場合の制御入力の振動を抑制するため、摂動信号の振幅を適応的に調節する機構を設けた。燃焼制御系の性能を開ループ制御時と比較する。図4(a)に開ループの場合、図4(b)に閉ループの場合の制御入力および総熱発生量とISFCを示す。結果から、高EGR率条件では確率最適制御によって最小限の追加燃料を噴射することで、総熱発生量の散発的な低下による燃バラらつきが抑制されていることが分かる。また、運転条件が変化する度に極値探索制御系が最適な点火時期を探索することで点火時期がある一定の値に収束し、常にISFCの値を小さく保っている。
まとめ
本研究では、燃焼バラつき要因モデルの構築と、バラつき抑制のための制御系の設計を行った。燃焼バラつきの持つ決定論的な要素と不確定的な要素を組み合わせることでエンジンで発生する現象を模擬し、燃料噴射量と点火時期を適切に制御してバラつきを抑制することができた。また、EGR観測器は実機実験によってその有効性が示された。

コメントを書く