TOP > バックナンバー > Vol.15 No.4 > CI燃焼2

Vol.15 No.4

CI燃焼2
内田 登
Noboru UCHIDA
株式会社新エィシーイー
New A.C.E. Institute CO., LTD

講演紹介(1)

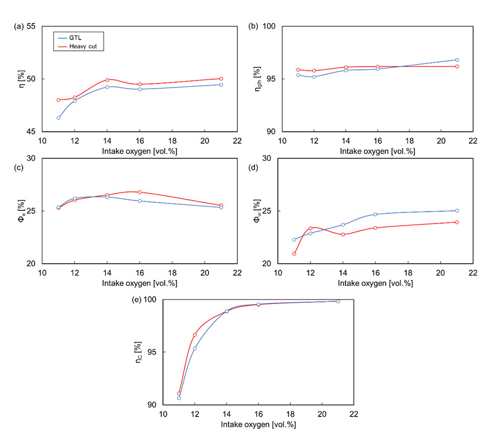
 将来ディーゼル用合成燃料として期待されるGTLは多様な性状を実現可能だが、実エンジンに対する最適性状に関する研究は未だ多くない。田中ら(1)はエンジン性能・排出ガス特性に及ぼす性状影響、特に本報では蒸留特性に着目し、表1に示すように単一GTL燃料を25%ずつ分画分留し、最も軽質な成分(GTL Light)、最も重質な成分(GTL Heavy)について単気筒エンジン(それぞれを分画分留前のGTLと50:50で混合したG50L50、G50H50を使用)と燃焼観察用の急速圧縮膨張装置(GTLと混合せず)にて比較考察した。
 エンジン試験からは、セタン指数が低くなる軽質混合燃料(G50L50)ではパイロット着火遅れは増加する一方で熱損失の低減によって熱効率の改善が確認され、その要因は燃焼の可視化から、図1の2色法解析した視野内温度分布が示すように重質燃料では高温領域が外縁部に長期間滞留することによるとした。この結果から著者らは最適燃料性状としてGTL Heavyのみ含まないHeavy cut燃料を選択し、図2・図3に示すようにベースのGTLと比較し高熱効率や低スモークを実現することを確認した。

×

この記事(あるいはこの企画)のご感想、ご意見をお聞かせください。
今後のコンテンツづくりの参考にさせていただきます。

コメントをお寄せいただきありがとうございました。

職種

職種を選択してください

コメント

コメントを入力してください

閉じる
閉じる
【参考文献】
(1) 田中 柊輔、山本 寛也、袁 昊昱、柴田 元、小川 英之:「液体合成燃料がディーゼルエンジン性能に与える影響」第1報 分画 GTLの軽質留分および重質留分の燃焼評価、2024年 第35回内燃機関シンポジウム 予稿集、講演番号16