2 ディーゼル燃焼(セッションNo.123)
ディーゼル燃焼のセッションでは6件の講演があり,多段噴射燃焼による排ガス・燃費率・騒音の改善に関する取組み,過渡運転性能の向上とその制御,モデルベースによる燃焼制御および適合手法の確立などに関する報告がなされた.その中で噴霧微粒化モデルの提案,モデルベースによる燃焼指標に基づいた制御および適合手法に関する報告について紹介する.
三菱自動車工業の菊池ら(2-1)は,ディーゼル燃焼におけるNOx,soot,熱発生率の予測精度向上および実測を再現する熱発生率を実用レベルの計算時間にて予測すべく,モデル定数を可変化した新噴霧微粒化モデルに関する講演を行った.
燃焼解析コードはKIVAで,早稲田大学で構築したコードをベースとし独自改良して使用している.従来のKH-RT分裂モデルでは実測の熱発生率波形を一部再現しない課題に対し,今回,KH分裂モデルをベースとして分裂時間算出のモデル定数B1(図2-1,式1)を適切に調整する方法を提案した.
具体的には,噴射弁シート部の流速に対してモデル定数B1を可変設定とし,低針弁リフト時に微粒化が促進される改良を加えている(図2-2).このモデルを適用することで,4気筒,排気量3.2Lエンジンの全負荷および部分負荷条件の実測熱発生率を概ね再現できる結果を得ている(図2-3).
また,CFD流動解析および可視化拡大模型による噴射弁内の内部流動観察を実施し,低針弁リフト条件ではサック内の強い流動により噴射が不安定となり微粒化が促進される事象,また,初期に噴射された遅い速度の燃料が後からくる速度の速い噴霧に押し広げられる事象を捉え,モデル改良の妥当性を確認している(図2-4,2-5,2-6).今後,B1の定式化および他エンジンへの適用性の検討に期待する.(山田)
デンソーの黒仁田(2-2)らは,排ガスの更なる低減とばらつき抑制,RDE(Real Driving Emission)規制に対応した運転領域の拡大を目的としたモデルベース適合手法の確立に関する講演を行った.
燃焼重心を進角して燃費率を稼ぎつつ,主燃焼初期の熱発生率を緩慢にして筒内温度の上昇抑制による低NOxと低騒音化が燃焼コンセプトであり,等NOx条件下でのsmoke,燃費率,騒音の同時低減を狙った内容である.この実現のために精密な燃料噴射技術が必須とし,ニードル開弁速度を増加させて噴射率の矩形化とレスポンス向上を図り,実噴射インターバルを110μsまで低減させている(図2-7).
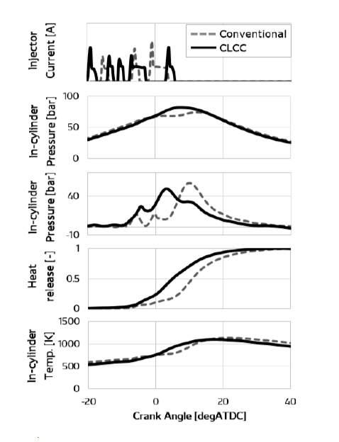
モデルベース適合において,まず各運転点にて目標排ガスを達成するための運転条件を机上算出し,この筒内圧履歴から2つの燃焼指標(SOR,Alpha)を定義して,目標値を設定している.これを満足する熱発生率,噴射率,噴射パターンを順にモデルで逆解析して噴射条件を自動算出し,指標の目標値によるフィードフォワード制御と,エンジン試験の指標値のフィードバック制御を行うCLCC(Closed-loop Combustion Control)制御アプローチを提案した(図2-8).
この制御にて,早期多段噴射による希薄燃焼にてNOxを抑制しつつ燃焼重心を進角,また,急峻な熱発生を抑制することで,燃費率,騒音,smokeの同時低減に至っている(図2-9,2-10).
最終的に過渡WLTCモードを想定したシミュレーション(図2-11)および2.1L直列4気筒エンジンによる実機試験にて,広範な運転領域で燃費率,NOxを同時低減できており(図2-12),本取組みで掲げた燃焼コンセプトとそれに基づくCLCC制御の有効性を確認している.本講演は定常モードでの算出排ガス値を過渡モードに適用した評価であり,今後,過渡状態を模擬した検討に取り組む予定とのことであり,今後のモデルベースを駆使した適合手法の確立に期待する.(山田)
